יום חמישי, 5 במרץ 2020

פתרון טריביאלי יחיד של מערכת משוואות לינאריות הומגנית

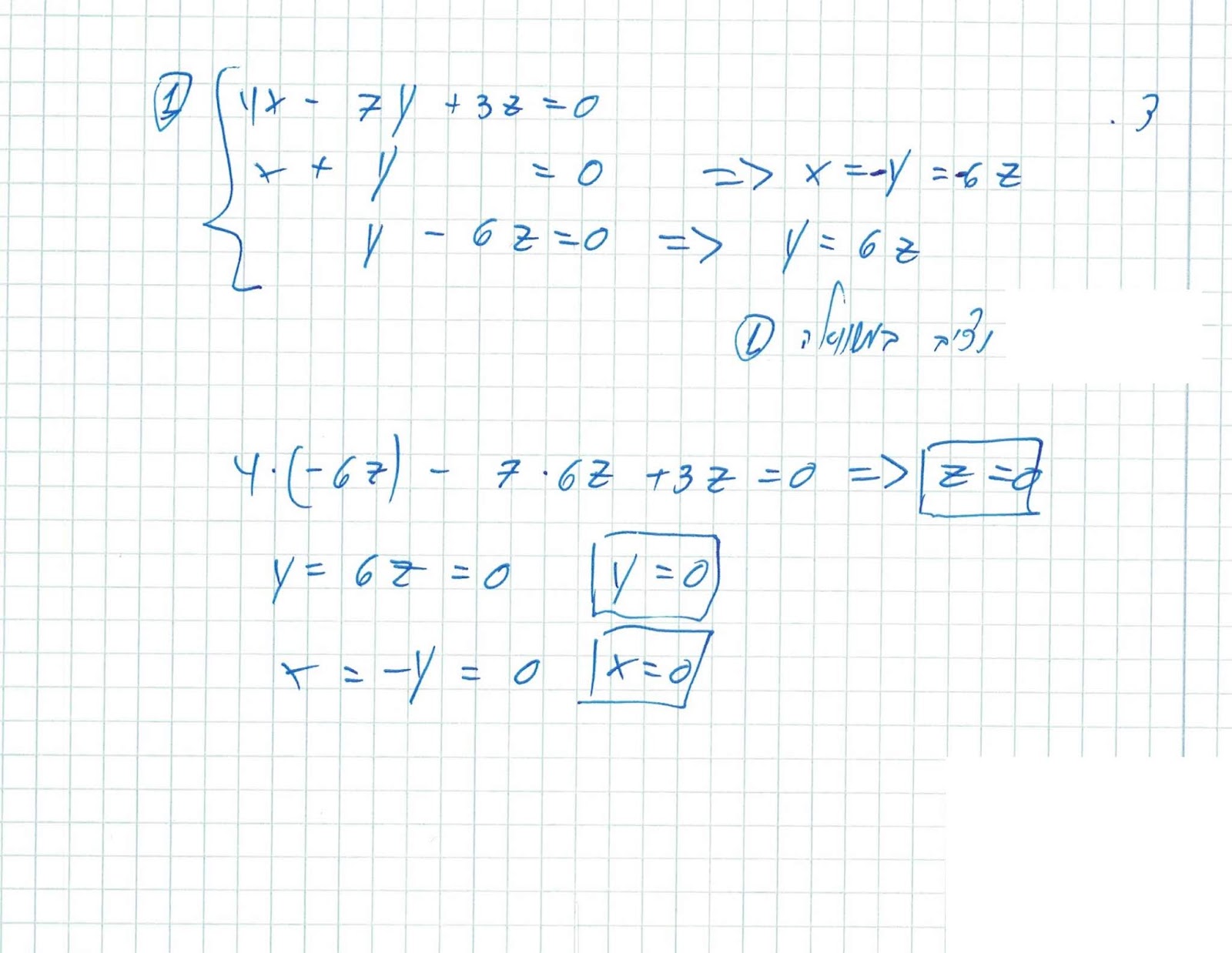
תרגיל פתור - פתרון טריביאלי יחיד של מערכת משוואות לינאריות הומגנית

תרגיל פתור - פתרון טריביאלי יחיד של מערכת משוואות לינאריות הומגנית

אין תגובות:

הוסף רשומת תגובה

בגרות 3 יחידות לימוד מתמטיקה חורף 2020 - הסתברות וסטטיסטיקה

  מתוך שאלון בגרות 3 יחידות מתמטיקה חורף 2020 - שאלון ראשון שאלה 6 שאלה מטילים פעם אחת שתי קוביות משחק הוגנות ומחשבים את סכום המספרים שהתקבל...