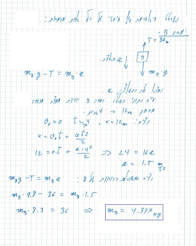
שתי תיבות, A ו- B, מחוברות בקצה לחבל אנכי בעל משקל זניח כפי שמוצג באיור. כוח F=60 ניוטון, מושך את תיבה A כלפי מעלה.
החל ממצב מנוחה, תיבה B יורדת 12.0 מ' בתוך 4.00 שניות. המתח של החבל המחבר בין שתי התיבות הוא 36.0 ניוטון.
א. מה המסה של תיבה B?
ב. מה מסת תיבה A?
הנח כי התיבות נעות בתנועה שוות תאוצה.
פתרון


אין תגובות:
הוסף רשומת תגובה